消失了十年的周佛郎再度回归股市,这一次,他带回了重大的理论成果——波动博弈理论和他组织开发的波动赢机器人。
早在2007年,周佛郎就发现了这一理论,并将它出版成六本丛书——零风险博弈盾。为了进一步验证波动博弈理论的正确性,周佛郎团队经历了无数次挫折,两次重大资金损失,亏损一千多万元,用九年时间完成了波动博弈理论的全部体系构建。
波动博弈理论对标华尔街投资理论体系,总结无数人失败的投资经验,突破了华尔街投资理论的局限——为少数人投资服务的理论。波动博弈理论的最大特点就是反向操作,不跟趋势,不随大流,基本操作原理是在每一支股票或金融产品上和庄家斗。在局部范围上使自己的资金大于庄家的资金,最终打败庄家,成为赢家。所以,波动博弈理论是为多数人服务的理论,也是最适合中小型投资者的理论。
经大数据测试,用波动博弈理论在整个A股市场进行操作实战,99%的股票都能正收益。
波动博弈理论之所以能获得正收益,很大程度上是因为其独特的资金管理方法。这种资金管理方法,就是把有限的资金管理成无限大。这个看起来简单的命题,花了周佛郎整整9年的时间研究。为了保证理论的严谨和科学性,波动博弈理论被多次反复推导重来,开发出几十种数学投资算法和数学模型,最后终于成功进入实战阶段。

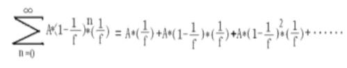
(周佛郎推导的资金管理数学模型)
周佛郎认为,满仓买入某只股票是风险最大的投资,广大散户要最大化利用自己的资金,就要按自已的资金大小,根据金融产品的价格升和跌,制定合适的持仓量和资金量。运用这个数学模型买卖股票,就可以成功将资金管理成无限大。
具体操作方法如下:
当第一次买入股票时,股价就往上升,股价每上升M%时,就必须卖出股票,卖出你手中股票的1/f,当股价再往上升M%,再卖出手中的股票的1/f,你手中总有1-(1/f)的股票在手上,股票单边上升,你的股票永远卖不完,你总可以卖到股价的最高点。
股票价格不可能永远上升,它一定会回调,当股价回调时,那么投资者如何把闲置的资金用上去呢?股价每下跌M%时,这时你可以买回你的资金1/f的股票。你总有1-(1/f)的资金留下。当股价再次下跌,你仍可以买入剩下资金的1/f就是:(1-(1/f)/f。你的资金是用不完的。你总可以买到股价的最低点。
或许有人会问,股价如果一直下跌,你总有资金用完的时候,的确,如果加上一个人工智能管理,结果就会大大不同了。每次在下跌后上升的拐点买进,这就是人工智能买卖算法。周佛郎研究团队己经推导出二十多种算法,并申请了发明专利。
用这个方法投资,虽然你赢利不多,但不会输钱。相对控制股价的庄家来说,你的资金比他多,你的投资资金是花不完的。
周佛郎把这种投资方法内嵌进股票软件,发明了首款智能自动交易,且能稳定收益的波动赢机器人软件,这样的软件一经投入市场,可谓是一枚重磅的深水炸蛋,可能会改变整个市场的走向。如果用的人多了,股价没有暴涨暴跌,股价将是与中国GDP增长关联的向上走的直线,直线斜率永远为正。同时,这也意味着,广大中小型投资者的春天,终于要到来了。
中国首席商业资讯门户;更多内容请关注中国商业网各频道、栏目资讯。
免责声明:凡本站注明 “来自:XXX(非中国商业网)”的新闻稿件和图片作品,系本站转载自其它媒体,转载目的在于信息传递,并不代表本站赞同其观点和对其真实性负责 。